スチームトラップの選定
復水排出容量の把握
ウォームアップ時の復水発生量
運転開始時は配管や装置が冷えており、蒸気の熱は主にこれらを暖めるのに消費されます。この起動時から配管や装置等が十分温まるまでに発生する復水量が、スチームトラップの復水排出能力やバイパスバルブの要否等を決める重要な因子となります。
蒸気配管
通常運転(熱平衡状態)に達するまでに、配管や保温材を暖めるのに費やされた蒸気の熱に相当する復水が発生します。この復水量は、近似的に次式により求めることができます。

G
:
復水発生量(kg/m)
⊿T
:
暖機による温度上昇(℃)
Ws
:
管材の単位長さ当たり質量(kg/m)
Wi
:
保温材の単位長さ当たり質量(kg/m)
Cps
:
管材の比熱(kJ/kg・℃)
Cpi
:
保温材の比熱(kJ/kg・℃)
r
:
蒸発潜熱(kJ/kg)
参考までに、通気前の配管温度を 0℃とし、所定の圧力の飽和温度まで加温するときに発生する復水量を表 3.1 に示します(保温材は考慮していません)。
表 3.1 蒸気配管の復水発生量
口径
(mm)
質量
(kg/m)
ゲージ圧力(MPa)
0.06
0.1
0.2
0.4
0.6
0.8
1.0
1.2
1.4
1.6
25
32
40
50
2.57
3.47
4.10
5.44
0.064
0.087
0.103
0.136
0.069
0.093
0.110
0.146
0.078
0.105
0.124
0.165
0.091
0.123
0.145
0.192
0.101
0.136
0.161
0.213
0.109
0.147
0.174
0.230
0.113
0.153
0.181
0.240
0.122
0.165
0.195
0.259
0.128
0.173
0.205
0.272
0.134
0.181
0.214
0.283
65
80
90
100
125
9.12
11.3
13.5
16.0
21.7
0.228
0.283
0.338
0.401
0.544
0.244
0.303
0.362
0.429
0.582
0.276
0.342
0.409
0.485
0.657
0.322
0.399
0.477
0.565
0.767
0.357
0.443
0.529
0.627
0.850
0.386
0.479
0.572
0.678
0.919
0.403
0.499
0.596
0.706
0.958
0.434
0.538
0.643
0.762
1.03
0.456
0.564
0.674
0.799
1.08
0.475
0.589
0.704
0.834
1.13
150
200
250
300
350
400
27.7
42.1
59.2
78.3
94.3
123
0.694
1.05
1.48
1.96
2.36
3.08
0.742
1.13
1.59
2.10
2.53
3.30
0.839
1.28
1.79
2.37
2.86
3.73
0.978
1.49
2.09
2.77
3.33
4.34
1.09
1.65
2.32
3.07
3.69
4.82
1.17
1.78
2.51
3.32
3.99
5.21
1.22
1.86
2.61
3.46
4.16
5.43
1.32
2.01
2.82
3.73
4.49
5.86
1.38
2.10
2.96
3.91
4.71
6.14
1.44
2.19
3.09
4.08
4.91
6.41
飽和蒸気温度(℃)
蒸発潜熱(kJ/kg)
113.6
2,220
120.4
2,201
133.7
2,163
151.9
2,107
165.0
2,064
175.4
2,029
184.1
1,998
191.7
1,971
198.3
1,945
204.4
1,921
配管(Sch40)1m を0℃から飽和蒸気温度まで上昇させるのに必要な蒸気量を kg で示す。鋼の比熱を 0.49kJ/kg・℃とする。
装置
装置の場合は、装置とその装置内に滞留する被加熱物もしくは反応物が加温されます。それに必要な総熱量を基に、次式を用いて復水発生量を求めることができます。

G' : 復水発生量(kg)
⊿T : 暖機による温度上昇(℃)
Ws' : 装置を構成する鋼材の総質量(kg)
Wi' : 装置を構成する鋼材以外の材料の総質量(kg)
Wl : 被加熱物の総質量(kg)
Cps : 鋼材の比熱(kJ/kg・℃)
Cpi : 鋼材以外の材料の比熱(kJ/kg・℃)
Cpl : 被加熱物等の比熱(kJ/kg・℃)
r : 蒸発潜熱(kJ/kg)スチームトレース管
スチームトレースとは、オイル等の輸送管にそって蒸気配管を敷設し、オイル等が凝固したり、粘度が過大にならないよう適切な温度に保つためのものです。このスチームトレース配管の場合は、トレース管の加温だけでなく、オイル等の内容物(被加熱物)とその輸送管、および断熱、保温材の加温をも考慮しなければならないことがあります。次式はすべてを加温の対象にしたときの復水発生量を求めるためのものです。

G : 復水発生量(kg/m)
T1: トレース管の温度上昇(℃)(トレース蒸気の飽和温度まで)
Ws1 : トレース管単位長さ当たり質量(kg/m)
Ws2 : 主配管の単位長さ当たり質量(kg/m)
W1' : 主配管内容物の単位長さ当たり質量(kg/m)
Cps1: トレース管の比熱(kJ/kg・℃)
Cps2: 主配管の比熱(kJ/kg・℃)
Cp1': 主配管内容物の比熱(kJ/kg・℃)
⊿T2: 主配管および断熱、保温材の温度上昇(℃)(主配管内容物の運転温度まで)
r : 蒸発潜熱(kJ/kg)以上、3つのケースについて、復水量の算出方法を述べましたが、スチームトラップの復水排出能力を決定するには、単位時間当りの復水量(kg/h)を見積もらなければなりません。次の「3.1.2 ウォーミングアップ時間」をも参考にしながら、適切なウォーミングアップ時間を決めて単位時間当りの復水量を定めます。
ウォームアップ時間
装置を構成する金属部材の肉厚が大きい場合は、加熱を急ぐとその熱による負担
(熱応力)も大きくなり、内部欠陥や破損を招く恐れがあります。このため、比較的高圧で使用される場合は、それらの肉厚も大きくなるため、ある程度時間をかけて(例えば、数時間)行うのが一般的です。一方、低圧使用でそれら部材の肉厚も小さくなる場合は、そのような制約も軽減され、迅速なウォームアップが行えます。
このように、ウォームアップ時間は、装置や運転状況によって異なりますが、停止回数、従ってウォームアップの頻度により、概ね次のようになっています。
● バッチ運転:15分程度
● 停止回数
1回/日:1時間以内
1回/週:1~2時間
1回/年:数時間
但し、バッチ運転等、ウォームアップ時間が短くて済むときでも、復水が配管や装置内に比較的大量に残留する場合は、蒸気を一気に流すとウォータハンマが懸念されるため、蒸気量を徐々に増やしながら(例えば、1 時間程度かけて)ゆっくり行うのが安全です。
通常運転時の復水発生量
ここでは、蒸気輸送管や幾種かの装置について、通常運転時における復水発生量の演算式を紹介します。
蒸気輸送管
配管材及び保温材から外気へ放散する熱量は、それらの材質、厚さ及び外気の条件によって異なります。
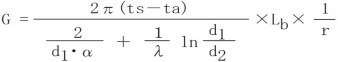
放熱によって配管内に発生する復水量は次式によって求められます。

G
:
復水発生量(kg/h)
d1
:
保温材外径(m)
d2
:
保温材内径(m)
λ
:
保温材熱伝導率(kJ/m・h・℃)
α
:
表面熱伝達率(kJ/㎡・h・℃)
ts
:
蒸気温度(℃)
ta
:
外気温度(℃)
Lb
:
主管長さ(m)
r
:
蒸発潜熱(kJ/kg)
装置
乾燥機(エアヒータ)
一般に熱風乾燥機として用いられ、各工場において最も多く使用されています。

G
V
:
:
復水発生量(kg/h)
空気流量(㎥/min)
Cp
:
空気の定圧比熱(kJ/kg・℃) Cp=1
γ
:
空気の比重量(kg/㎥)γ=1.226
⊿t
:
上昇温度差(℃)
r
:
蒸発潜熱(kJ/kg)
乾燥機においては上記計算条件を把握し難いことが多いため、次の方法で求めた値を用いるのが一般的です。


図 3.1 エアヒータ
熱交換器
熱交換器とはリボイラ、蒸発缶のように、蒸気のもつ熱エネルギーをコイル等の伝熱面を介して低温流体に伝える容器です。復水発生量の計算は、温度差の計算処理が複雑なため、通常は次の簡略式が用いられます。

G
M
:
:
復水発生量(kg/h)
被加熱物体の流量(ℓ/min)
⊿t
:
上昇温度差(℃)
C
:
被加熱物体の比熱(kJ/kg・℃)
Sg
:
被加熱物体の比重(kg/ℓ)
r
:
蒸発潜熱(kJ/kg)

図 3.2 シェル&チューブ熱交換器
ジャケット釜
特に食品工場で多く使用される装置で、大別すると、固定式、回転式に分けられます。

G : 復水発生量 (kg/h) M : 被加熱流体量 (ℓ)
⊿t : 温度上昇(℃)
C : 被加熱物体の比熱 (kJ/kg・℃) Sg : 被加熱物体の比重 (kg/ℓ)
T : 所 要 時 間 (h)
r : 蒸 発 潜 熱 (kJ/kg)

図 3.3 固定式ジャケット釜
プレス
ゴム・プラスチック・合板・クリーニング産業等においてスチームプレスが広く使用されています。

G
:
復水発生量(kg/h)
A
:
製品との接触面積(㎡)
R
:
凝縮係数(kg/m2・h)

図 3.4 加硫プレス例
オートクレーブ
オートクレーブは、加圧しながら蒸気により直接製品等の滅菌・精製・乾燥をする装置で、医療、厨房などで使用する圧力容器です。

G
W
:
:
復水発生量(kg/h)
製品の重量(kg)
C
:
製品の比熱(kJ/kg・℃)
⊿t
:
製品の温度上昇(℃)
r
:
蒸発潜熱(kJ/kg)
T
:
所要時間(h)

図 3.5 直噴式オートクレーブ
シリンダードライヤ
蒸気が充満するシリンダーの外面に製品を接触させ乾燥させる装置であり、一般的に製紙・ダンボール・リネン工場等で多く使用されています。一部の装置を除いては、復水の排出にはサイフォン管が多く用いられています。

G
:
復水発生量(kg/h)
d
:
シリンダー直径(m)
L
:
シリンダーの巾(m)
R
:
凝縮係数(kg/m2・h)

図 3.6 シリンダードライヤ
スチームトレース管の復水発生量
スチームトレースにおける蒸気消費量、すなわち復水発生量は配管等からの放熱量によって決まります。㈱ミヤワキは、具体的な計算方法等について、顧客との共同実地研究の実績に基くアドバイスを行っています。
スチームトラップの復水排出能力
ウォームアップ時に発生する復水量と通常運転時に発生する復水量から最大復水量を見積もり、それに安全率(概ね2倍)を乗じてスチームトラップの排出能力を決めるのが基本です。しかしながら、一般には通常運転時よりウォームアップ時の発生量が多く、特に大規模なシステムでは、その差がはっきりしています。
このような場合にウォームアップ時の復水量に合わせてスチームトラップの復水排出能力を決めると、通常運転では能力過大となってしまいます。この辺りの判断は、ウォームアップ時間との兼合いになりますが、スチームトラップのみでウォームアップ時間が長引きそうなシステムに対しては、ウォームアップ時専用のバイパスバルブを設置し、スチームトラップは定常時の復水量に合わせて選定するのが賢明と言えます。
ウォームアップ時はまた、通気初期の段階で圧力がかなり低く、スチームトラップの排出能力が小さくなりますから、この点も考慮する必要があります。